本文目录
一元三次方程求根公式那个先发现的?时间?谁?
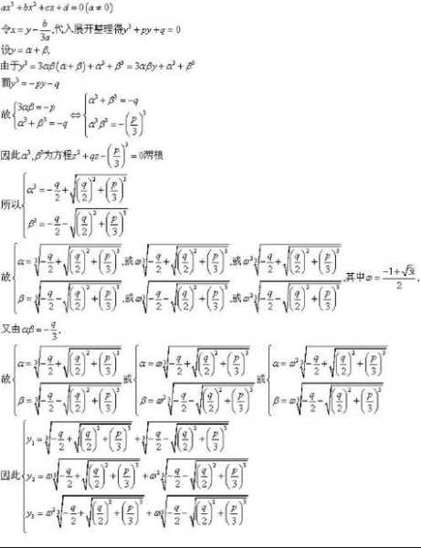
一元三次方程ax^3+bx^2+cx+d=0的求根公式是1545年由意大利者卡当发表在《关于代数的》一书中,人们就把它叫做“卡当公式(有的数资料叫卡尔丹公式)最早是南宋数家秦九韶至晚在1247 年就已经发现一元三次方程的求根公式,欧洲人在400 多年后才发现,但在的课本上这个公式仍是以那个欧洲人的名字来命名的。
复数的运算是谁提出的?
在公元1世纪时期,希腊数家海伦在解决顶金字塔不可能问题时候,简单提到了复数方根,这是先有可以考查到最早复数有关的文献记载。
在1545年,意大利米兰者卡尔达诺在《重要的艺术》一书中,公布了一元三次方程的一般解法,被后人称之为“卡当公式”。卡尔达诺是个把负数的方根写到公式中的数家,经过达朗贝尔、棣莫弗、欧拉、高斯等人的工作,此概念逐渐为数家所接受。
复数是怎么起源的?
这里的复数应是数领域的复数,其形式为z=a+bi(a,b均为实数),其中a称为实部,b称为虚部,i称为虚数单位。
最早有关复数方根的文献出于公元1世纪希腊数家海伦,他考虑的是顶金字塔不可能问题。
16世纪意大利米兰者卡尔达诺在1545年发表的《重要的艺术》一书中,公布了一元三次方程的一般解法,被后人称之为“卡当公式”。他是个把负数的方根写到公式中的数家。给出“虚数”这一名称的是法国数家笛卡尔,他在《几何》(1637年发表)中使“虚的数”与“实的数”相对应,从此,虚数才流传开来。十八世纪末,复数渐渐被大多数人接受,当时卡斯帕尔·韦塞尔提出复数可看作面上的一点。数年后,高斯再提出此观点并大力推广,复数的研究开始高速发展。
卡当和礼意哪个更靠谱?急定结婚礼物?
两家还真的对比过。觉得礼意的服务靠谱一些。东西也全一些。包装什么的。像是一个大公司的作风。
关于正负数课外小知识?
印度人最早提出负数的是628年左右的婆罗摩笈多(约598-665)。他提出了负数的运算法则,并用小点或小圈记在数字上表示负数。
在欧洲初步认识提出负数概念,最早要算意大利数家斐波那契(1170-1)。
他在解决一个盈利问题时说∶我将证明这个问题不可能有解,除非承认这个人可以负债。
15世纪的舒开(1445?-1510?)和16世纪的史提非(1553)虽然他们都发现了负数,但又都把负数说成是荒谬的数,卡当(1545)给出了方程的负根,但他把它说成是“假数”。
韦达知道负数的存在,但他完全不要负数。
笛卡儿部分地接受了负数,他把方程的负根叫假根,因它比“无”更小。



还没有评论,来说两句吧...